Press to Close

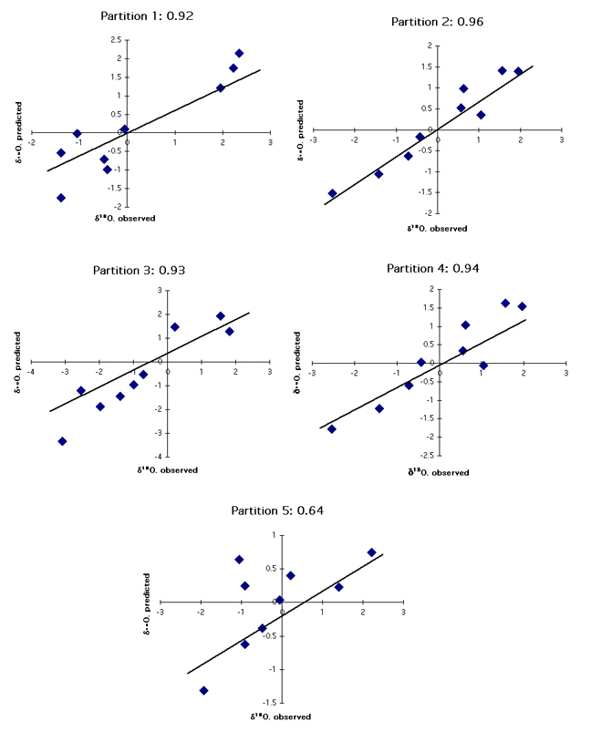
Figure 6. The correlation coefficients between observed and predicted 18O in the five test-sets of the Mediterranean samples are as follows: Partition 1: 0.92; Partition 2: 0.96; Partition 3: 0.93; Partition 4: 0.94; and Partition 5: 0.64.